昆明卫生职业学院2022年云南省专升本
《高等数学》真题再现
昆明卫生职业学院继续教育学院坚持“追逐梦想,勇于探索,协同攻坚,契合考点”的理念,在专升本的道路上,兢兢业业,精益求精,为每一届学子贡献智慧和力量!
2022年数理教研室根据历年专升本考试情况,分析考情、剖析考点,全面梳理高等数学考试大纲,特为本届考生整理汇编了高等数学《考点解析》手册,引导学生熟悉考点、理清模块,能在考试中占有一定优势。

与上一年相比,今年题型不变,但多选题数量有所增加。学院授课教师押题命中率较高,在2022年考卷中出现的自编辅导资料原题占30%左右,其它都可找到类似题目。
序号 | 题型 | 分/题 | 数量 | 分值 | 合计 |
1 | 判断题 | 2 | 10 | 20 | 150分 |
2 | 单选题 | 4 | 20 | 80 | |
3 | 多选题 | 5 | 10 | 50 |
下面带大家一起重温2022年云南省专升本《高等数学》考题。
第1题 | 函数的定义域是 ( ) 答案:× | ||
教学资料 | 课本 | 专项练习 | 考点解析 |
页码 | P41 | P19 | P3 |
考题再现 |
|
|
|
考后心得 |
| ||
第2题 | 函数则 ( ) 答案:√ | ||
教学资料 | 课本 | 专项练习 | 考点解析 |
页码 | P52 | P20 | P3 |
考题再现 |
|
|
|
第3题 | 连续一定可导,可导不一定连续,即连续是可导的充分条件 ( ) 答案:× | ||
教学资料 | 课本 | 专项练习 | 考点解析 |
页码 | P128 | P50 | P28 |
考题再现 |
|
|
|
考后心得 |
| ||
第4题 | 若,则 ( ) 答案:× | ||
教学资料 | 课本 | 专项练习 | 考点解析 |
页码 | P108 | P108 | P36 |
考题再现 |
|
|
|
第5题 | 函数 ( ) 答案:√ | ||
教学资料 | 课本 | 专项练习 | 考点解析 |
页码 | P133 | P56 | P59 |
考题再现 |
|
|
|
考后心得 |
| ||
第6题 | 函数在定义域内单调减少 ( ) 答案:× | ||
教学资料 | 课本 | 专项练习 | 考点解析 |
页码 | P154 | P60 | P61 |
考题再现 |
|
|
|
第7题 | 的原函数 ( ) 答案:√ | ||
教学资料 | 课本 | 专项练习 | 考点解析 |
页码 | P183 | P65 | P74 |
考题再现 |
|
|
|
第8题 | ( ) 答案:√ | ||
教学资料 | 课本 | 专项练习 | 考点解析 |
页码 | P176 | P38 | P53 |
考题再现 |
|
|
|
考后心得 |
| ||
第9题 | 抛物线,直线和轴所围成的曲边梯形的面积为 ( ) 答案:× | ||
教学资料 | 课本 | 专项练习 | 考点解析 |
页码 | P231 | P87 | P102 |
考题再现 |
|
|
|
第10题 | 微分方程是可分离变量的微分方程 ( ) 答案:√ | ||
教学资料 | 课本 | 专项练习 | 考点解析 |
页码 | P245 | P98 | P108 |
考题再现 |
|
|
|
考后心得 |
| ||
第11题 | ( ) A.1 B. C.0 D.不存在 答案:D | ||
教学资料 | 课本 | 专项练习 | 考点解析 |
页码 | P77 | P22 | P8 |
考题再现 |
|
|
|
考后心得 | | ||
第12题 | 已知,则( ) A. B. C. D. 答案:A | ||
教学资料 | 课本 | 专项练习 | 考点解析 |
页码 | P42 | P20 | P3 |
考题再现 |
|
|
|
考后心得 |
| ||
第13题 | 以下结论正确的是( ) A. B. C. D. 答案:D | ||
教学资料 | 课本 | 专项练习 | 考点解析 |
页码 | P76 | P16 | P17 |
考题再现 |
|
|
|
考后心得 | | ||
第14题 | 设( ) A. B. C. D. 答案:B | ||
教学资料 | 课本 | 专项练习 | 考点解析 |
页码 | P106 | P36 | P36 |
考题再现 |
|
|
|
考后心得 |
| ||
第15题 | 设( ) A. B. C. D. 答案:C | ||
教学资料 | 课本 | 专项练习 | 考点解析 |
页码 | P113 | P49 | P47 |
考题再现 |
|
|
|
考后心得 | | ||
第16题 | 曲线在点处法线方程( ) A. B. C. D. 答案:D | ||
教学资料 | 课本 | 专项练习 | 考点解析 |
页码 | P101 | P39 | P30 |
考题再现 |
|
|
|
考后心得 | | ||
第17题 | 若方程确定是的函数,确定( ) A.2 B.-1 C.1 D.-2 答案:C | ||
教学资料 | 课本 | 专项练习 | 考点解析 |
页码 | P116 | P49 | P37 |
考题再现 |
|
|
|
第18题 | 若已知(其中为常数,为参数),则=( ) B. C. D. 答案:A | ||
教学资料 | 课本 | 专项练习 | 考点解析 |
页码 | P116 | P38 | P39 |
考题再现 |
|
|
|
第19题 | ( ) A. B. C. D. 答案:B | ||
教学资料 | 课本 | 专项练习 | 考点解析 |
页码 | P62 | P21 | P21 |
考题再现 |
|
|
|
考后心得 |
| ||
第20题 | 函数 在处取得极大值,则必有( ) A. B. C. D. 答案:D | ||
教学资料 | 课本 | 专项练习 | 考点解析 |
页码 | P159 | P60 | P62 |
考题再现 |
|
|
|
考后心得 | | ||
第21题 | 若函数 在 内连续且二阶可导,且 且 , 则函数在 内,则必有( ) A.单调减少,图形下凹 B.单调增加,图形下凹 C.单调减少,图形上凹 D.单调增加,图形上凹 答案:A | ||
教学资料 | 课本 | 专项练习 | 考点解析 |
页码 | P167 | P44-24 | P65-5 |
考题再现 |
|
|
|
第22题 | 已知,且时,则( ) A. B. C. D. 答案:C | ||
教学资料 | 课本 | 专项练习 | 考点解析 |
页码 | P241 | P38 | 无 |
考题再现 |
|
| 无 |
考后心得 |
| ||
第23题 | 若是的一个原函数,则( ) A. B. C. D. 答案:B | ||
教学资料 | 课本 | 专项练习 | 考点解析 |
页码 | P195-196 | P67-69 | 无 |
考题再现 |
|
| 无 |
第24题 | 在区间上是连续函数,在该区间内所围成平面的面积的是( ) A. B. C. D. 答案:B | ||
教学资料 | 课本 | 专项练习 | 考点解析 |
页码 | P210 | P88 | 无 |
考题再现 |
|
| 无 |
考后心得 |
| ||
第25题 | =( ) A. B. C. D. 答案:C | ||
教学资料 | 课本 | 专项练习 | 考点解析 |
页码 | P176 | P143 | 无 |
考题再现 |
|
| 无 |
第26题 | =( ) A. B. C. D. 答案:A | ||
教学资料 | 课本 | 专项练习 | 考点解析 |
页码 | P221 | P80 | P85 |
考题再现 |
|
|
|
考后心得 |
| ||
第27题 | 设是的一个原函数,=( ) A. B. C. D. 答案:D | ||
教学资料 | 课本 | 专项练习 | 考点解析 |
页码 | P212 | P84 | P91 |
考题再现 |
|
|
|
考后心得 |
| ||
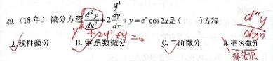
第28题 | 微分方程( ) A.一阶非齐次 B.一阶齐次线性 C.齐次 D.一阶非线性 答案:A | ||
教学资料 | 课本 | 专项练习 | 考点解析 |
页码 | P245 | P96 | P105 |
考题再现 |
|
|
|
第29题 | 下列方程不是一阶微分方程的是( ) A. B. C. D. 答案:D | ||
教学资料 | 课本 | 专项练习 | 考点解析 |
页码 | P245 | P130 | P112 |
考题再现 |
|
|
|
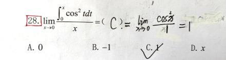
第30题 | ( ) A.1 B. C.2 D. 答案:C | ||
教学资料 | 课本 | 专项练习 | 考点解析 |
页码 | P214 | P72 | P92 |
考题再现 |
|
|
|
考后心得 |
| ||
第31题 | 下列各对函数是相同函数的是( ) A. B. C. D. 答案:CD | ||
教学资料 | 课本 | 专项练习 | 考点解析 |
页码 | P48 | P14 | P3 |
考题再现 |
|
|
|
第32题 | 对于函数在处,下列说法正确的是( ) A.,函数左连续 B.,函数右连续 C.,函数必连续 D.,函数必连续 答案:ABD | ||
教学资料 | 课本 | 专项练习 | 考点解析 |
页码 | P78 | P15 | P24 |
考题再现 |
|
|
|
第33题 | 若在处可微,有,则当时, 错误的是( ) A.是比高阶的无穷小量 B.是与同阶的无穷小量 C.是比高价的无穷小量 D.是比高价的无穷小量 答案:BCD | ||
教学资料 | 课本 | 专项练习 | 考点解析 |
页码 | P124 | P51 | P50 |
考题再现 |
|
|
|
考后心得 |
| ||
第34题 | 下列式子正确的是( ) A. B. C. D. 答案:AB | ||
教学资料 | 课本 | 专项练习 | 考点解析 |
页码 | P105 | P57 | P48 |
考题再现 |
|
|
|
第35题 | 下列极限中,可以直接使用洛必达法则的是( ) A. B. C. D. 答案:ABD | ||
教学资料 | 课本 | 专项练习 | 考点解析 |
页码 | P138 | P22 | P57 |
考题再现 |
|
|
|
第36题 | 设函数,且,以下结论正确的有( ) A. B.当时,为极小值 C.当时,为极大值 D.当时,为拐点 答案:ABC | ||
教学资料 | 课本 | 专项练习 | 考点解析 |
页码 | P159 | P57 | P65 |
考题再现 |
|
|
|
第37题 | 若,则下列各式成立的有( ) A. B. C. D. 答案:BCD | ||
教学资料 | 课本 | 专项练习 | 考点解析 |
页码 | P211 | P78 P65 | P74 P75 |
考题再现 |
|
|
|
第38题 | 若函数是连续函数,为常数,则下列说法正确的有( ) A.是常数 B.是关于的函数 C.是关于的函数 D.是关于和的函数 答案:ABC | ||
教学资料 | 课本 | 专项练习 | 考点解析 |
页码 | P212 | P81 | 无 |
考题再现 |
|
| |
第39题 | 下列广义积分收敛的是( ) A. B. C. D. 答案:AD | ||
教学资料 | 课本 | 专项练习 | 考点解析 |
页码 | P225 | P87 | P99 |
考题再现 |
|
|
|
第40题 | 微分方程是( )微分方程 A.二阶 B.常系数 C.齐次 D.线性 答案:ABCD | ||
教学资料 | 课本 | 专项练习 | 考点解析 |
页码 | P247 | P99 | P99 |
考题再现 |
|
|
|
人生就是一只储蓄罐,你投入的每一分努力,都会在未来的某一天,打包还给你。升学路途充满了艰辛和泪水,只要你认真的努力,全心的投入,相信收获的不仅仅只是最后的录取通知书,而更多的是一份受益终生的经历,一段永远难忘的经历!
继续教育学院
数理教研室
2022年4月12日